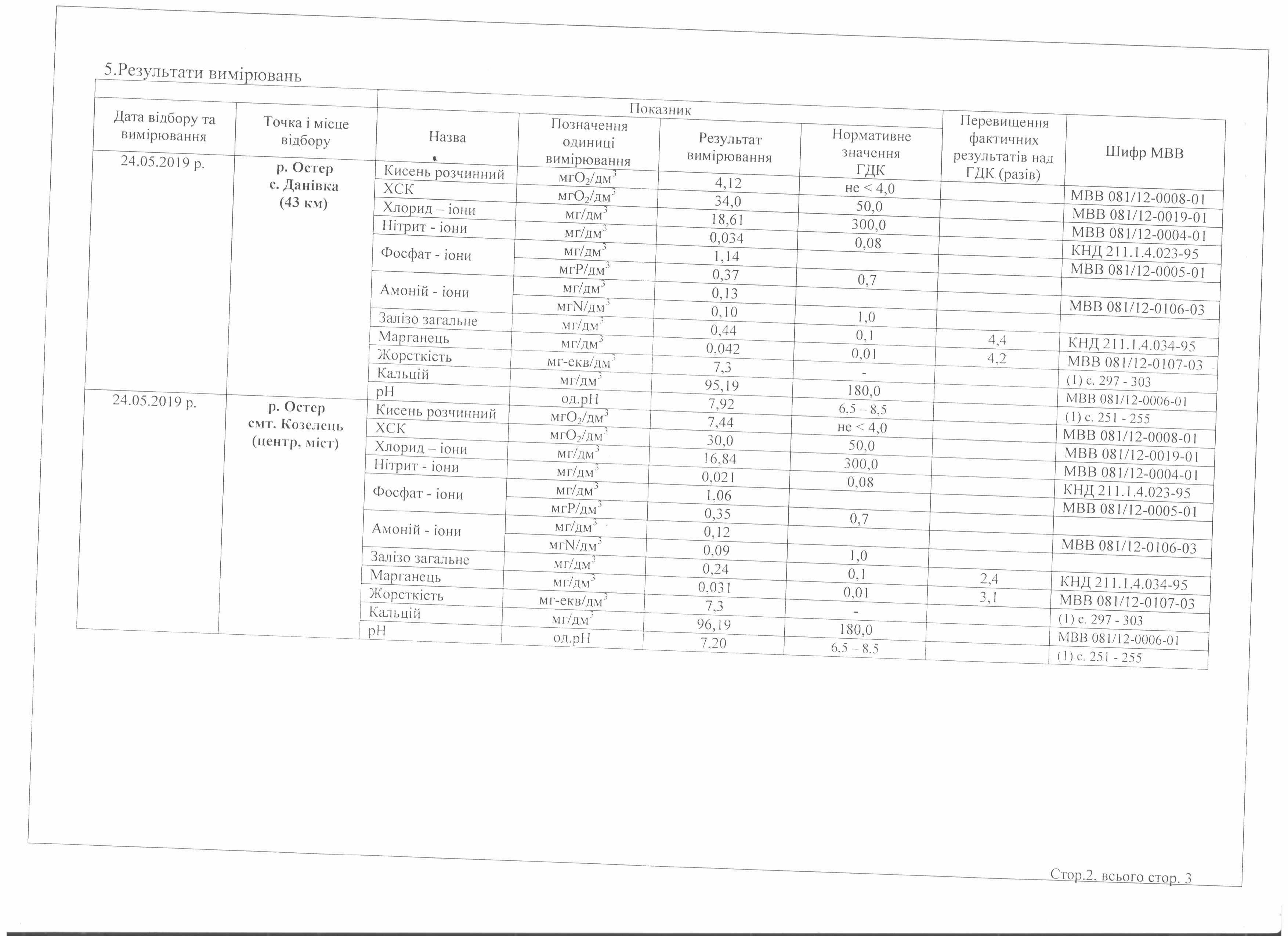
На запит Козелецької селищної ради до Деснянського басейнового управління водних ресурсів надійшла відповідь з результатами проведених аналізів води в річці Остер.
Згідно із результатами, зафіксовано перевищення допустимих норм по марганцю (в 1,6-4,2 рази) та залізу (в 1,5-4,4 рази). Про те, як зазначається у листі, підвищений вміст заліза та марганцю не пов'язаний із техногенним забрудненням водойми, а зумовлений природною геохімічною обстановкою. Концентрації інших гідрохімічних показників не перевищують гранично допустимих норм.




Відділ зв'язків із громадськістю,
ЗМІ та громадськими об'єднаннями
Весь контент доступний за ліцензією Creative Commons Attribution 4.0 International License, якщо не зазначено інше







